The Neutrino Kaleidoscope: Searches for Non-Standard Neutrino Oscillations at Neutrino Telescopes with a TeV Muon Accelerator Source
Authors
Nicholas W. Kamp, Gray Putnam
Abstract
Muon accelerators, a potential technology for enabling $\mathcal{O}$(10 TeV) parton center of mass energy collisions, would also source an intense, collimated beam of neutrinos at TeV energies. The energy and size of this beam would be excellently matched as a source for existing and planned neutrino telescopes: gigaton-sized detectors of astrophysical neutrinos at and above TeV energies. In this paper, we introduce the technical considerations and scientific reach of pairing a muon accelerator source of neutrinos with a neutrino telescope detector, a combination we dub the ''Neutrino Kaleidoscope''. In particular, such a pairing would enable searches for non-standard oscillations of the beam neutrinos as they traverse the earth between source and detector. These non-standard neutrino oscillations could be sourced by Lorentz invariance violation, which a neutrino kaleidoscope could probe up to the quantum gravity-motivated Planck scale. Such a search would also have a reach on sterile neutrinos orders of magnitude beyond existing terrestrial limits. Finally, we touch on some of the non-oscillation potential of a neutrino kaleidoscope.
Concepts
The Big Picture
Imagine firing a beam of nearly massless, nearly invisible particles through the entire planet, from a particle accelerator in Illinois straight down through Earth’s crust, mantle, and core to a detector buried in Antarctic ice. Sound like science fiction? It’s not. It’s the core idea behind what physicists Nicholas Kamp and Gray Putnam call the “Neutrino Kaleidoscope,” and it could become one of the sharpest probes of fundamental physics we’ve ever built.
Neutrinos are the universe’s most antisocial particles. They carry no charge, have almost no mass, and barely interact with anything. Trillions pass through your body every second without a trace. Yet that ghostly indifference is exactly what makes them useful: a neutrino beam can travel thousands of kilometers through solid rock and emerge almost completely intact, carrying information about the journey.
The proposal pairs two emerging technologies. Muon accelerators are next-generation colliders that use muons, particles similar to electrons but about 200 times heavier. Neutrino telescopes are enormous underground detectors like IceCube. Put them together and you get a new kind of experimental setup, one that could probe physics at energy scales approaching the Planck scale, where quantum mechanics meets gravity.
Key Insight: By directing the intense neutrino beam from a future muon accelerator at existing neutrino telescopes thousands of kilometers away, physicists could search for exotic new physics, including hints of quantum gravity, with sensitivity far beyond anything currently possible.
How It Works
A happy coincidence of scales makes the whole thing work. Future muon accelerators circulating muons at energies around 5–10 TeV (one TeV is roughly a thousand times the energy stored in a stationary proton) produce neutrinos as a natural byproduct. When muons decay, they emit two types of neutrinos in a tight, focused beam. At 5 TeV, that beam’s angular spread is just 0.02 milliradians, so narrow that after traveling thousands of kilometers it still fits inside a detector only hundreds of meters across.

On the receiving end: neutrino telescopes like IceCube instrument roughly a cubic kilometer of ice, about a gigaton of active mass. At TeV energies, roughly 1 in 10 beam neutrinos interact inside a gigaton-scale detector. That interaction rate, combined with the collimated beam, means the kaleidoscope accumulates statistics far exceeding what atmospheric neutrinos can provide. And because the beam composition is precisely known, systematic uncertainties stay well controlled.
The authors consider three baselines, each probing a different layer of Earth’s interior:
- Fermilab → P-ONE (off Canada’s coast): ~7,700 km, through the crust
- Fermilab → KM3NeT (Mediterranean): ~8,600 km, through the mantle
- Fermilab → IceCube (South Pole): ~12,900 km, through the core

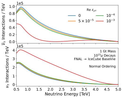
An oscillation search compares the flavor composition (the mix of neutrino types) at the source against what arrives at the detector. Standard neutrino oscillations are well understood: neutrinos shift between their three flavors as they travel. New physics would show up as deviations from the expected pattern.
Angular spread in the beam turns out to be an asset. Sampling different off-axis angles effectively samples different neutrino energies, sharpening sensitivity to oscillation signals through what’s known as the PRISM effect.
For sterile neutrinos, hypothetical particles that don’t interact via the weak force, the kaleidoscope could probe mixing with ordinary neutrinos at mass splittings around 1 eV². Sensitivity would exceed existing terrestrial experiments by orders of magnitude.
But the real prize is Lorentz invariance violation. Some quantum gravity theories predict tiny departures from Einstein’s special relativity. These effects accumulate over long baselines and become measurable at TeV energies. The kaleidoscope could probe violations suppressed by the Planck scale (~10¹⁹ GeV), a direct window into physics at the boundary between quantum mechanics and gravity.
Why It Matters
This proposal connects two communities that don’t usually talk to each other: collider physics and astrophysical neutrino detection. Muon accelerators are being actively developed as the next generation of high-energy colliders. IceCube is real and running today, with next-generation upgrades on the way. The neutrino kaleidoscope isn’t a distant fantasy; it’s a plan to deliberately connect infrastructure that may exist within decades.
There’s a subtler point, too. The byproducts of future accelerators may be as scientifically valuable as their primary collisions. A muon collider built to explore 10 TeV center-of-mass collisions would simultaneously run the world’s most sensitive neutrino oscillation experiment, for free, using detectors already deployed on the ocean floor and at the South Pole.
Open questions remain. Can a muon accelerator ring be engineered with a straight section pointed at a telescope thousands of kilometers away at a steep downward angle? How precisely can the total neutrino flux be measured to keep experimental errors under control?
Kamp and Putnam flag these and other design questions as active areas for further study. The paper lays out a quantitative framework for addressing them.
Bottom Line: The Neutrino Kaleidoscope would turn a future muon collider into a dual-purpose physics machine, probing quantum gravity signatures and exotic sterile neutrinos with sensitivity well beyond current reach, just by pointing its neutrino beam at detectors that already exist.
IAIFI Research Highlights
This work ties together accelerator physics, neutrino astrophysics, and quantum gravity phenomenology by repurposing future collider infrastructure as a long-baseline neutrino oscillation experiment, using Earth itself as the medium.
The data analysis demands of neutrino kaleidoscope searches, from disentangling rare oscillation signals to classifying TeV-scale neutrino interactions, could motivate new machine learning approaches for neutrino event reconstruction at experiments like IceCube.
The proposal offers sensitivity to Lorentz invariance violation at the Planck scale and sterile neutrino mixing well beyond current terrestrial limits, probing physics outside the Standard Model.
Future work will focus on detector optimization, beam engineering constraints, and near-detector physics; the full analysis framework is detailed in [arXiv:2508.09249](https://arxiv.org/abs/2508.09249).
Original Paper Details
The Neutrino Kaleidoscope: Searches for Non-Standard Neutrino Oscillations at Neutrino Telescopes with a TeV Muon Accelerator Source
2508.09249
Nicholas W. Kamp, Gray Putnam
Muon accelerators, a potential technology for enabling $\mathcal{O}$(10 TeV) parton center of mass energy collisions, would also source an intense, collimated beam of neutrinos at TeV energies. The energy and size of this beam would be excellently matched as a source for existing and planned neutrino telescopes: gigaton-sized detectors of astrophysical neutrinos at and above TeV energies. In this paper, we introduce the technical considerations and scientific reach of pairing a muon accelerator source of neutrinos with a neutrino telescope detector, a combination we dub the ''Neutrino Kaleidoscope''. In particular, such a pairing would enable searches for non-standard oscillations of the beam neutrinos as they traverse the earth between source and detector. These non-standard neutrino oscillations could be sourced by Lorentz invariance violation, which a neutrino kaleidoscope could probe up to the quantum gravity-motivated Planck scale. Such a search would also have a reach on sterile neutrinos orders of magnitude beyond existing terrestrial limits. Finally, we touch on some of the non-oscillation potential of a neutrino kaleidoscope.