The DNA of nuclear models: How AI predicts nuclear masses
Authors
Kate A. Richardson, Sokratis Trifinopoulos, Mike Williams
Abstract
Obtaining high-precision predictions of nuclear masses, or equivalently nuclear binding energies, $E_b$, remains an important goal in nuclear-physics research. Recently, many AI-based tools have shown promising results on this task, some achieving precision that surpasses the best physics models. However, the utility of these AI models remains in question given that predictions are only useful where measurements do not exist, which inherently requires extrapolation away from the training (and testing) samples. Since AI models are largely black boxes, the reliability of such an extrapolation is difficult to assess. We present an AI model that not only achieves cutting-edge precision for $E_b$, but does so in an interpretable manner. For example, we find that (and explain why) the most important dimensions of its internal representation form a double helix, where the analog of the hydrogen bonds in DNA here link the number of protons and neutrons found in the most stable nucleus of each isotopic chain. Furthermore, we show that the AI prediction of $E_b$ can be factorized and ordered hierarchically, with the most important terms corresponding to well-known symbolic models (such as the famous liquid drop). Remarkably, the improvement of the AI model over symbolic ones can almost entirely be attributed to an observation made by Jaffe in 1969 based on the structure of most known nuclear ground states. The end result is a fully interpretable data-driven model of nuclear masses based on physics deduced by AI.
Concepts
The Big Picture
Imagine trying to predict the weight of every possible molecule. Not just the ones chemists have measured, but the exotic, unstable ones that exist only for fractions of a second in stellar explosions or particle accelerators. That’s roughly the challenge nuclear physicists face with nuclear binding energies: the precise amount of energy holding each nucleus together. We’ve measured thousands of nuclei, but the universe needs us to predict thousands more.
The problem runs deep. Many fundamental questions hinge on knowing the masses of nuclei we can’t easily measure: how heavy elements form in neutron star mergers, how far the chart of all possible nuclei extends into unstable territory. The best physics models achieve impressive precision, but not quite enough. AI models have recently leapfrogged them on accuracy, but with a catch: nobody knows why they work, which makes trusting their predictions beyond training data a risky bet.
A team at MIT and CERN has built an AI model that does both: record precision and genuine interpretability, with internal structure as recognizable as a strand of DNA.
Key Insight: When forced to explain itself, an AI trained on nuclear data rediscovered the same physics structures humans have been building for nearly a century, then pointed to a 1969 insight that explains almost all of its remaining advantage.
How It Works
The model takes only two inputs: the number of protons (Z) and neutrons (N) in a nucleus. No hand-engineered physics features, no pre-baked formulas. It learns purely from patterns in measured binding energy data.

The researchers peered into the AI’s internal representation, the mathematical space it builds to organize nuclei before making a prediction. Its two most important dimensions, plotted together, trace out a double helix. This isn’t metaphor. It resembles DNA geometrically, with “hydrogen bonds” linking the proton and neutron counts of each element’s most stable isotope.
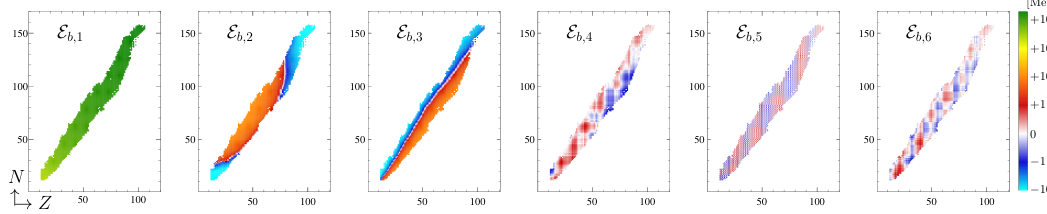
The AI arrived at this pattern knowing nothing about chemistry or biology. That helical structure follows from which nuclei are most tightly bound. When the researchers went further and factorized the prediction into ranked components, they found a clear hierarchy:
- The dominant term closely matches the liquid drop model, a nearly century-old formula treating the nucleus as a dense incompressible fluid
- Successive terms add corrections for progressively finer physical effects
- Precision improves step by step: from ~2.7 MeV (basic liquid drop) down to ~0.5 MeV (best symbolic models), and finally to 0.13 MeV for the full AI model
That last jump has a specific origin. Almost all of the improvement over symbolic models traces back to a 1969 observation by physicist Jaffe about the structure of nuclei in their lowest-energy configurations, a pattern noted at the time but never fully incorporated into mass formulas. The AI didn’t know about Jaffe’s work. It rediscovered the same insight from data alone.

For context: the best non-AI model (WS4) reaches an RMS error of about 0.28 MeV. This AI model cuts that roughly in half at 0.13 MeV, a mean relative precision of about one part in ten thousand. And unlike black-box AI approaches, every component of the prediction maps to known physics.
Why It Matters
Precision matters here in a practical sense. The r-process, the rapid neutron-capture chain responsible for forging gold, platinum, and most heavy elements in neutron star collisions, requires binding energies for thousands of unmeasured nuclei. Feed it wrong numbers and your astrophysical simulations go wrong in ways that are hard to diagnose. An interpretable model is far more trustworthy for extrapolation: if you understand why it works where you can check it, you have real reasons to trust it where you can’t.
The payoff goes beyond nuclear physics. Rather than treating AI as an oracle, the researchers used it as an automated theorist, one that sifts through data, extracts structure, and points back to real physics. The model rediscovered both the liquid drop model and Jaffe’s 1969 result without any prior knowledge. Building AI that explains its own predictions isn’t just a nice-to-have; it turns the model into a tool for genuine discovery.
Bottom Line: An AI trained on nuclear masses spontaneously developed a DNA-like internal structure, rediscovered the liquid drop model, and traced its remaining advantage to a half-century-old observation. Interpretable AI and physics precision are not in conflict; they reinforce each other.
IAIFI Research Highlights
This work connects nuclear physics and machine learning by building an AI that achieves top-tier binding energy predictions while remaining fully interpretable, showing that AI can deduce physics rather than merely fit data.
High-dimensional neural network representations can spontaneously organize into physically meaningful low-dimensional structures (a double helix), providing a concrete case study in AI interpretability for scientific applications.
With 0.13 MeV precision on nuclear masses and each component traced to known physics, this model makes extrapolations needed for *r*-process nucleosynthesis and nuclear chart exploration considerably more reliable.
Future work may apply this factorization and interpretability framework to other nuclear observables and to nuclei far from stability. The full paper is available at [arXiv:2508.08370](https://arxiv.org/abs/2508.08370).
Original Paper Details
The DNA of nuclear models: How AI predicts nuclear masses
2508.08370
["Kate A. Richardson", "Sokratis Trifinopoulos", "Mike Williams"]
Obtaining high-precision predictions of nuclear masses, or equivalently nuclear binding energies, $E_b$, remains an important goal in nuclear-physics research. Recently, many AI-based tools have shown promising results on this task, some achieving precision that surpasses the best physics models. However, the utility of these AI models remains in question given that predictions are only useful where measurements do not exist, which inherently requires extrapolation away from the training (and testing) samples. Since AI models are largely black boxes, the reliability of such an extrapolation is difficult to assess. We present an AI model that not only achieves cutting-edge precision for $E_b$, but does so in an interpretable manner. For example, we find that (and explain why) the most important dimensions of its internal representation form a double helix, where the analog of the hydrogen bonds in DNA here link the number of protons and neutrons found in the most stable nucleus of each isotopic chain. Furthermore, we show that the AI prediction of $E_b$ can be factorized and ordered hierarchically, with the most important terms corresponding to well-known symbolic models (such as the famous liquid drop). Remarkably, the improvement of the AI model over symbolic ones can almost entirely be attributed to an observation made by Jaffe in 1969 based on the structure of most known nuclear ground states. The end result is a fully interpretable data-driven model of nuclear masses based on physics deduced by AI.