Seeing the Outer Edge of the Infant Type Ia Supernova 2024epr in the Optical and Near Infrared
Authors
W. B. Hoogendam, D. O. Jones, C. Ashall, B. J. Shappee, R. J. Foley, M. A. Tucker, M. E. Huber, K. Auchettl, D. D. Desai, A. Do, J. T. Hinkle, S. Romagnoli, J. Shi, A. Syncatto, C. R. Angus, K. C. Chambers, D. A. Coulter, K. W. Davis, T. de Boer, A. Gagliano, M. Kong, C. -C. Lin, T. B. Lowe, E. A. Magnier, P. Minguez, Y. -C. Pan, K. C. Patra, S. A. Severson, K. Taggart, A. R. Wasserman, S. K. Yadavalli, P. Chen, R. S. Post
Abstract
We present optical-to-near-infrared (NIR) photometry and spectroscopy of the Type Ia supernova (SN Ia) 2024epr, including NIR spectra observed within two days of first light. The early-time optical spectra show strong, high-velocity Ca and Si features near rarely-observed velocities at $\sim$0.1$c$, and the NIR spectra show a C I "knee." Despite early-time, high-velocity features, SN 2024epr evolves into a normal SN Ia, albeit with stronger peak-light Ca absorption than other SNe Ia with the same light curve shape. Although we infer a normal decline rate, $Δm_{15}(B)=1.09\pm0.12$ mag, from the light-curve rise, SN 2024epr is a Branch "cool" object and has red early-time colors ($g-r\approx0.15$ mag at $-10$ days). The high velocities point to a density enhancement in the outer layers of the explosion, predicted by some models, but thick-shell He-detonation models do not match the smoothly rising light curve or apparent lack of He in our early-time NIR spectra. No current models (e.g., delayed detonation or thin He shell double detonation) appear to reproduce all observed properties, particularly the unusual early-time colors. Such constraints are only possible for SN 2024epr from the earliest optical and NIR observations, highlighting their importance for constraining SN Ia models. Finally, we identify several literature SNe Ia with intermediate mass elements at $\sim$30\,000 km s$^{-1}$ within days after the explosion that evolve into otherwise normal SNe Ia at peak light, suggesting the early-time spectra of SNe Ia may hide a broad diversity of observational characteristics.
Concepts
The Big Picture
Imagine trying to figure out how a firework explodes by studying only the sparks still glowing in the sky, minutes after the bang. That’s roughly the challenge astronomers face with Type Ia supernovae, cosmic explosions so bright they can outshine entire galaxies, yet so distant that we almost always catch them well after the initial blast. For decades, theorists have sketched out competing blueprints for what triggers these explosions, but the evidence needed to pick a winner lies in those first fleeting moments. SN 2024epr changed that.
Type Ia supernovae are the universe’s most reliable distance markers, cosmic yardsticks calibrated by their consistent peak brightness. This property lets astronomers map distances across billions of light-years. It’s how we first confirmed that the universe’s expansion is accelerating, a discovery that earned a Nobel Prize.
But we don’t know what triggers these explosions. The culprit is a white dwarf, a dense, Earth-sized remnant of a dead star made mostly of carbon and oxygen. Whether it has a companion star, what ignites the blast, how the explosion propagates outward: all genuinely contested.
SN 2024epr was caught within two days of first light, making it one of the earliest-observed Type Ia supernovae ever studied. The team observed it simultaneously in optical light (what human eyes can see) and near-infrared light (wavelengths just beyond visible, detectable only by specialized instruments). What they found defied easy explanation: a normal supernova wearing a very strange first impression.
Key Insight: SN 2024epr showed extreme high-velocity ejecta at ~10% the speed of light in its first days, a feature no current theoretical model can fully explain. Yet by peak brightness it had evolved into a textbook-normal Type Ia supernova.
How It Works
The research team, led by W. B. Hoogendam at the University of Hawai’i, ran an intensive observational campaign across multiple telescopes. They collected photometry (brightness measurements over time) in optical and near-infrared wavelengths, alongside spectroscopy, splitting the supernova’s light into its constituent colors to identify chemical fingerprints.

In visible light, the team spotted absorption features: dark gaps in the spectrum created when gas absorbs light at characteristic wavelengths. These fingerprints revealed calcium and silicon moving at roughly 30,000 km/s, about 10% the speed of light. Typical high-velocity features in Type Ia supernovae sit around 20,000 km/s. SN 2024epr’s were faster still, placing them among the rarest velocities ever recorded in a Type Ia spectrum. The interpretation: an unusually dense shell of material in the outermost layers of the exploding star.
The near-infrared spectra added another twist. A feature called the C I “knee” turned up, a signature left by unburned carbon lingering in the outermost expelled material, or ejecta. “C I” is spectroscopic notation for neutral carbon. This diagnostic is visible only in near-infrared light, and only in the earliest observations, before the material spreads too thin to detect.

Two facts about SN 2024epr sit in direct tension:
- Extreme early behavior: High-velocity Ca and Si at ~0.1c, red early-time colors (g−r ≈ 0.15 mag at ten days before peak), strong calcium absorption
- Completely normal late behavior: A standard decline rate of Δm₁₅(B) = 1.09 ± 0.12 mag, consistent with a garden-variety Type Ia at peak light
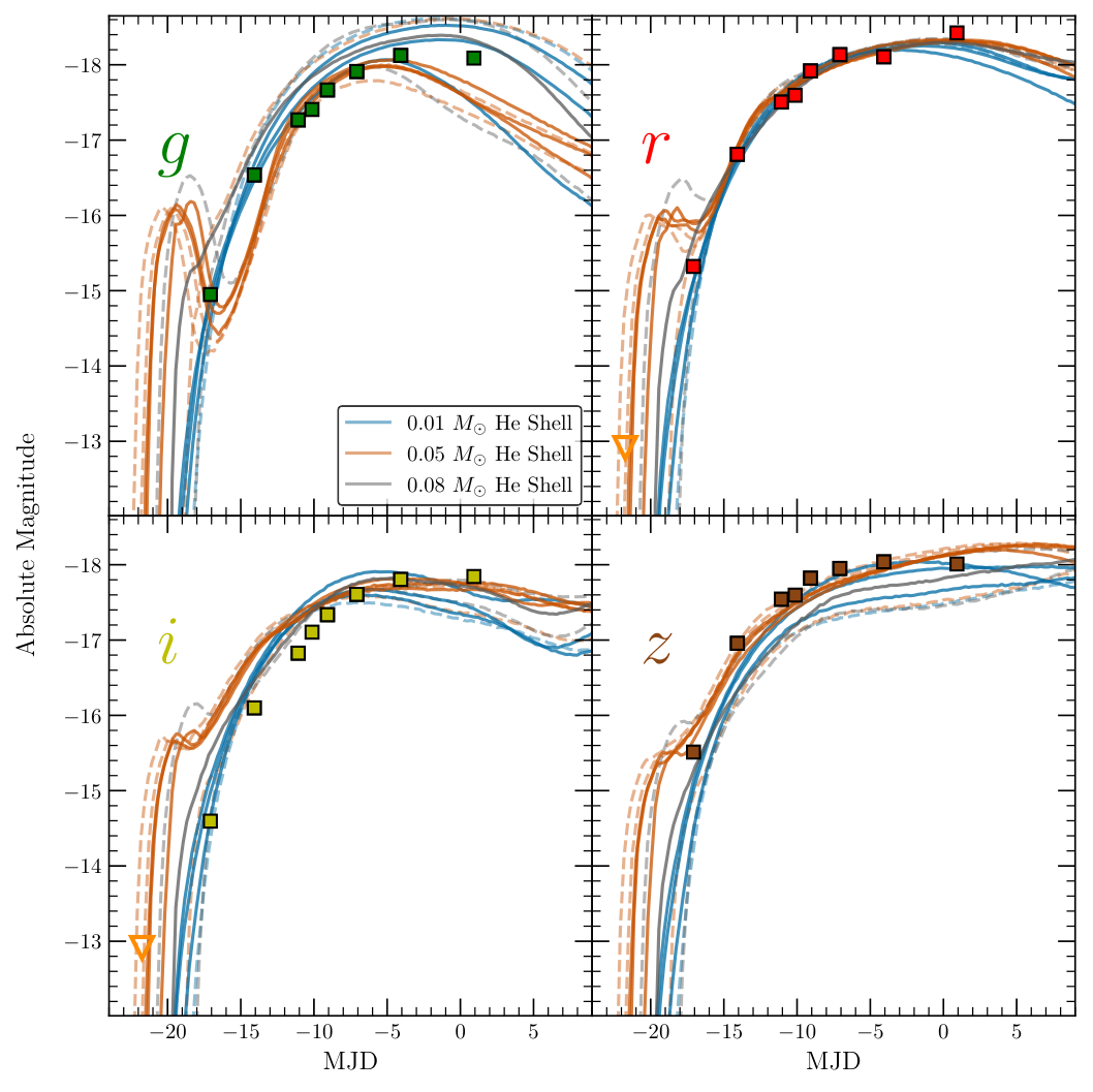
One leading class of models, thick-shell helium detonation, predicts high-velocity features from an outer helium shell that detonates first, triggering the main carbon-oxygen explosion. But those models also predict helium spectral signatures in the near-infrared. SN 2024epr shows none. The light curve also rises too smoothly: thick-shell models predict bumps and wiggles that simply aren’t there.
Other frameworks fail too. Delayed detonation, where the explosion begins as a slow burn before accelerating to supersonic speeds, and thin-shell double detonation, a similar helium-trigger scenario involving a thinner outer shell, both struggle to reproduce the peculiar early colors alongside everything else.

Why It Matters
By combing the literature, the team identified several other Type Ia supernovae showing similarly extreme high-velocity features in the days after explosion, yet appearing completely normal at peak light. SN 2024epr isn’t a one-off. This should give cosmologists pause.
The “standardizability” of Type Ia supernovae, our ability to use them as precise cosmic rulers, rests on properties measured at peak brightness. If there’s hidden diversity in the first days that we almost always miss, we may be systematically misunderstanding these objects.
The Vera C. Rubin Observatory’s Legacy Survey of Space and Time (LSST) will catch thousands of supernovae within hours of explosion. Pairing those optical detections with rapid near-infrared follow-up, the combination that made SN 2024epr so revealing, could finally discriminate between explosion mechanisms that look identical at peak light.
The density enhancement hinted at by SN 2024epr’s high-velocity features may be a fossil record of the star system before the explosion, a clue pointing toward what kind of object actually triggers the blast. Catching more such events, early enough, might finally close the case.
Bottom Line: SN 2024epr’s extreme early behavior, invisible at peak light, reveals that standard candles may be hiding real diversity in their first moments. No current theoretical model can explain all the observations, pointing toward gaps in our understanding of how Type Ia supernovae explode.
IAIFI Research Highlights
This work uses multi-wavelength observational astrophysics to probe the fundamental physics of thermonuclear explosions, with IAIFI researchers contributing constraints that challenge every existing theoretical model of Type Ia supernova explosions.
While primarily an observational study, results like these inform the physical priors and training labels used by AI-based supernova classifiers and cosmological inference pipelines, which will need to account for early-time diversity in Type Ia spectra.
SN 2024epr places strong new constraints on the outer ejecta structure of a Type Ia explosion, ruling out thick-shell helium detonation models and challenging delayed-detonation scenarios, pushing toward a revised understanding of white dwarf thermonuclear physics.
Future large-scale surveys paired with rapid near-infrared follow-up could finally distinguish between competing explosion mechanisms using populations of early-caught Type Ia supernovae; the full paper is available at [arXiv:2502.17556](https://arxiv.org/abs/2502.17556).
Original Paper Details
Seeing the Outer Edge of the Infant Type Ia Supernova 2024epr in the Optical and Near Infrared
2502.17556
["W. B. Hoogendam", "D. O. Jones", "C. Ashall", "B. J. Shappee", "R. J. Foley", "M. A. Tucker", "M. E. Huber", "K. Auchettl", "D. D. Desai", "A. Do", "J. T. Hinkle", "S. Romagnoli", "J. Shi", "A. Syncatto", "C. R. Angus", "K. C. Chambers", "D. A. Coulter", "K. W. Davis", "T. de Boer", "A. Gagliano", "M. Kong", "C. -C. Lin", "T. B. Lowe", "E. A. Magnier", "P. Minguez", "Y. -C. Pan", "K. C. Patra", "S. A. Severson", "K. Taggart", "A. R. Wasserman", "S. K. Yadavalli", "P. Chen", "R. S. Post"]
We present optical-to-near-infrared (NIR) photometry and spectroscopy of the Type Ia supernova (SN Ia) 2024epr, including NIR spectra observed within two days of first light. The early-time optical spectra show strong, high-velocity Ca and Si features near rarely-observed velocities at $\sim$0.1$c$, and the NIR spectra show a C I "knee." Despite early-time, high-velocity features, SN 2024epr evolves into a normal SN Ia, albeit with stronger peak-light Ca absorption than other SNe Ia with the same light curve shape. Although we infer a normal decline rate, $Δm_{15}(B)=1.09\pm0.12$ mag, from the light-curve rise, SN 2024epr is a Branch "cool" object and has red early-time colors ($g-r\approx0.15$ mag at $-10$ days). The high velocities point to a density enhancement in the outer layers of the explosion, predicted by some models, but thick-shell He-detonation models do not match the smoothly rising light curve or apparent lack of He in our early-time NIR spectra. No current models (e.g., delayed detonation or thin He shell double detonation) appear to reproduce all observed properties, particularly the unusual early-time colors. Such constraints are only possible for SN 2024epr from the earliest optical and NIR observations, highlighting their importance for constraining SN Ia models. Finally, we identify several literature SNe Ia with intermediate mass elements at $\sim$30\,000 km s$^{-1}$ within days after the explosion that evolve into otherwise normal SNe Ia at peak light, suggesting the early-time spectra of SNe Ia may hide a broad diversity of observational characteristics.