Refining Heuristic Predictors of Fractional Chern Insulators using Machine Learning
Authors
Oriol Mayné i Comas, André Grossi Fonseca, Sachin Vaidya, Marin Soljačić
Abstract
We develop an interpretable, data-driven framework to quantify how single-particle band geometry governs the stability of fractional Chern insulators (FCIs). Using large-scale exact diagonalization, we evaluate an FCI metric that yields a continuous spectral measure of FCI stability across parameter space. We then train Kolmogorov-Arnold networks (KANs) -- a recently developed interpretable neural architecture -- to regress this metric from two band-geometric descriptors: the trace violation $T$ and the Berry curvature fluctuations $σ_B$. Applied to spinless fermions at filling $ν=1/3$ in models on the checkerboard and kagome lattices, our approach yields compact analytical formulas that predict FCI stability with over $>80 \%$ accuracy in both regression and classification tasks, and remain reliable even in data-scarce regimes. The learned relations reveal model-dependent trends, clarifying the limits of Landau-level-mimicking heuristics. Our framework provides a general method for extracting simple, phenomenological "laws" that connect many-body phase stability to chosen physical descriptors, enabling rapid hypothesis formation and targeted design of quantum phases.
Concepts
The Big Picture
Imagine trying to predict whether a material will become a superconductor just by looking at its crystal structure, before running a single expensive experiment. That’s roughly the challenge facing physicists who study fractional Chern insulators (FCIs): materials where electrons pool into collective states that behave as if each carries only a fraction of a single electron’s charge.
It sounds impossible. Electrons are elementary particles; their charge is fixed. But in the right quantum environment, collective behavior can mimic particles that don’t exist on their own.
Verifying whether a material hosts this behavior requires enormous computational effort. Simulating all electrons interacting simultaneously is intractable at any real scale. Worse, the results depend sensitively on subtle mathematical properties of how electrons move through the crystal.
A team of MIT physicists has turned machine learning into a shortcut. They fed a neural network those mathematical properties and taught it to predict whether fractional behavior would emerge, with over 80% accuracy. Then they distilled the predictions into compact formulas a physicist can actually read and reason with. The formulas themselves reveal something new about what controls these unusual quantum states.
Key Insight: Kolmogorov-Arnold Networks can extract simple, interpretable formulas connecting a material’s single-particle band geometry to its many-body FCI stability, achieving >80% accuracy while exposing model-dependent physics invisible to older heuristics.
How It Works
In traditional two-dimensional electron gases under magnetic fields, electrons occupy Landau levels: quantum energy levels with vast degeneracy, like a perfectly flat energy surface. This flatness is what enables fractional charge behavior. When physicists discovered similar behavior could arise in crystal lattices without any magnetic field, the obvious question was: what makes a Chern band (the lattice analog of a Landau level) structured enough to support fractionalization?
Two geometric quantities became the prime suspects. The trace violation T measures how much a band’s quantum metric, a mathematical measure of distance between nearby quantum states, deviates from the relationship that holds exactly in ideal Landau levels. The Berry curvature fluctuations σ_B capture how unevenly Berry curvature is spread across the Brillouin zone. Think of Berry curvature as an invisible magnetic field living in the abstract space of electron momenta. Landau levels have perfectly uniform Berry curvature; real lattice systems don’t.
Together, T and σ_B form a two-number summary of how “Landau-level-like” a given band is. But how predictive are they, really?

To find out, the team assembled a large dataset using exact diagonalization (ED), a brute-force method that directly solves the full many-body quantum problem by constructing and diagonalizing enormous Hamiltonian matrices. They swept parameter space in two prototypical lattice models (checkerboard and kagome) at filling fraction ν = 1/3, evaluating a continuous FCI quality metric at each point. This metric combines both the many-body gap and the ground-state energy spread under flux insertion, giving a richer target than a binary FCI/not-FCI label.
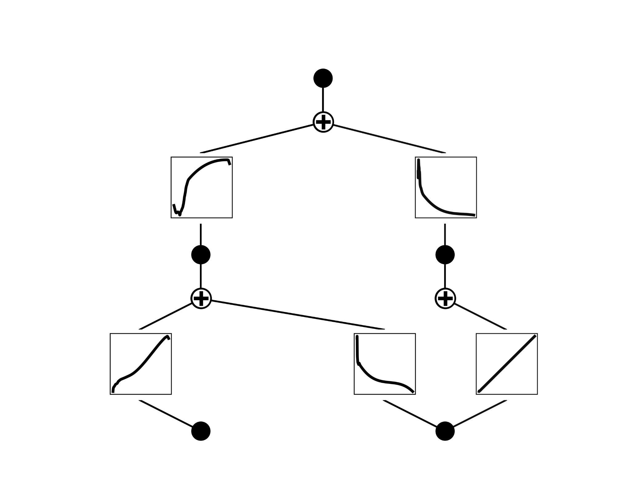
They then trained Kolmogorov-Arnold Networks (KANs), a neural architecture introduced in 2024 that places learnable activation functions on each edge of the network graph rather than fixed activations on nodes. After training, those learned functions can often be matched to known mathematical expressions (logarithms, polynomials, exponentials), so you can read off a symbolic formula from the trained network.

The pipeline:
- Train a KAN to regress the FCI quality metric from (T, σ_B) pairs
- Prune and retrain iteratively to find the simplest structure that still performs well
- Fit the learned activation functions to symbolic expressions
- Evaluate the resulting analytical formula on held-out data
The formulas that came out were compact enough to write on a whiteboard.

You might expect that both large T and large σ_B would uniformly hurt FCI stability, since both measure departures from ideal Landau-level geometry. The KAN formulas say otherwise. In the kagome lattice, large σ_B does indeed destabilize the FCI, consistent with standard heuristics. But in the checkerboard lattice the relationship inverts: larger Berry curvature fluctuations enhance FCI stability in certain parameter regimes. This isn’t a numerical artifact. It reflects genuine model-dependent physics that one-size-fits-all heuristics miss.

The approach is strikingly data-efficient. With as few as ~100 exact diagonalization samples (a tiny fraction of what standard studies use), the KAN still captured dominant trends in FCI stability. ED is computationally expensive, so this efficiency makes it practical to scan far larger material spaces than current methods allow.

Classification accuracy exceeded 80% for both lattice models. The regression formulas tracked the continuous quality metric closely enough to distinguish stable FCI regions from marginal ones.

Why It Matters
The point isn’t to replace physical intuition with a neural network. It’s to hand physicists better intuition. The KAN acts as a “law extractor”: it takes numerical data and produces the small, readable relationships that physicists actually want to work with.
For quantum materials research, the payoff is practical. Designing systems with topologically ordered ground states is a slow, expensive cycle of compute-and-check. A validated, interpretable formula connecting band geometry to phase stability could guide synthesis of new moiré superlattice materials, metamaterials, and photonic systems where FCI-like physics has recently been predicted or observed.
The fact that σ_B plays opposite roles in different lattices is a warning against over-applying universal heuristics. That kind of warning only becomes actionable when you have quantitative tools to probe the deviations.
Open questions remain. How do the learned formulas extend to other lattice models, other fillings, or systems with spin? Can the same pipeline disentangle the roles of additional geometric descriptors beyond T and σ_B? The machinery is in place to find out.
Bottom Line: By training interpretable KAN networks on exact diagonalization data, this MIT team extracted simple analytical formulas that predict fractional Chern insulator stability with >80% accuracy and showed that standard Landau-level heuristics break down in model-dependent ways that matter for real material design.
IAIFI Research Highlights
This work uses Kolmogorov-Arnold Networks to distill complex many-body quantum simulations into readable physical laws for topological phases, combining interpretable machine learning with condensed matter physics in a way neither field would produce alone.
KANs prove effective as "law extractors" in a scientific context, producing human-readable formulas from numerical data with high accuracy even when training data is scarce. The results make a concrete case for interpretable ML as a tool for physical discovery.
By quantitatively mapping band geometry to FCI stability and uncovering model-dependent deviations from Landau-level heuristics, the work clarifies what makes topologically ordered quantum phases arise in lattice systems without magnetic fields.
Future work can extend this pipeline to other lattice geometries, fillings, and geometric descriptors, potentially speeding up the design of moiré and photonic systems hosting fractionalized phases; the paper is available at [arXiv:2512.01873](https://arxiv.org/abs/2512.01873).
Original Paper Details
Refining Heuristic Predictors of Fractional Chern Insulators using Machine Learning
2512.01873
Oriol Mayné i Comas, André Grossi Fonseca, Sachin Vaidya, Marin Soljačić
We develop an interpretable, data-driven framework to quantify how single-particle band geometry governs the stability of fractional Chern insulators (FCIs). Using large-scale exact diagonalization, we evaluate an FCI metric that yields a continuous spectral measure of FCI stability across parameter space. We then train Kolmogorov-Arnold networks (KANs) -- a recently developed interpretable neural architecture -- to regress this metric from two band-geometric descriptors: the trace violation $T$ and the Berry curvature fluctuations $σ_B$. Applied to spinless fermions at filling $ν=1/3$ in models on the checkerboard and kagome lattices, our approach yields compact analytical formulas that predict FCI stability with over $>80 \%$ accuracy in both regression and classification tasks, and remain reliable even in data-scarce regimes. The learned relations reveal model-dependent trends, clarifying the limits of Landau-level-mimicking heuristics. Our framework provides a general method for extracting simple, phenomenological "laws" that connect many-body phase stability to chosen physical descriptors, enabling rapid hypothesis formation and targeted design of quantum phases.