Quasi Anomalous Knowledge: Searching for new physics with embedded knowledge
Authors
Sang Eon Park, Dylan Rankin, Silviu-Marian Udrescu, Mikaeel Yunus, Philip Harris
Abstract
Discoveries of new phenomena often involve a dedicated search for a hypothetical physics signature. Recently, novel deep learning techniques have emerged for anomaly detection in the absence of a signal prior. However, by ignoring signal priors, the sensitivity of these approaches is significantly reduced. We present a new strategy dubbed Quasi Anomalous Knowledge (QUAK), whereby we introduce alternative signal priors that capture some of the salient features of new physics signatures, allowing for the recovery of sensitivity even when the alternative signal is incorrect. This approach can be applied to a broad range of physics models and neural network architectures. In this paper, we apply QUAK to anomaly detection of new physics events at the CERN Large Hadron Collider utilizing variational autoencoders with normalizing flow.
Concepts
The Big Picture
Imagine you’ve lost your keys somewhere in your house. You could search every room randomly, which is thorough but exhausting. Or you could go straight to the spots you always leave them, which is fast but would miss anywhere unusual. Now imagine a third option: you don’t know exactly where they are, but you know your habits well enough to focus your search intelligently.
That’s roughly what physicists at the LHC face every time they hunt for new particles, and it’s the intuition behind a clever new technique called QUAK.
For over a decade, the Large Hadron Collider at CERN has smashed protons together at record energies, generating torrents of data. Despite exhaustive searching, no clear sign of new physics has emerged beyond the Standard Model, the well-tested rulebook that describes all known particles and forces. This has pushed physicists toward a provocative question: what if we’re looking in the wrong way?
Traditional searches require you to know, at least roughly, what you’re looking for. You build a detailed model of a new particle, simulate its signature, and scan the data for it. But what about physics we haven’t imagined yet? Purely automatic “oddity detectors” try to flag anything unusual, but without guidance about what unusual looks like in physics terms, they cast such a wide net they become nearly useless.
A team of MIT researchers (Sang Eon Park, Dylan Rankin, Silviu-Marian Udrescu, Mikaeel Yunus, and Philip Harris) developed a strategy that sits deliberately between these extremes: Quasi Anomalous Knowledge, or QUAK. It’s a hybrid approach that uses approximate, possibly-wrong signal guesses to boost the power of anomaly searches.
QUAK embeds “good enough” physics intuitions into an anomaly detector. Even when the assumed signal is wrong, the detector recovers sensitivity that fully blind approaches miss.
How It Works
The central idea is deceptively simple. Instead of asking “does this event look normal?” (the pure anomaly approach) or “does this event look exactly like a black hole?” (the dedicated search approach), QUAK asks: “does this event look like something physically plausible but unexpected?”

QUAK constructs a multi-dimensional loss space, a coordinate system where each axis measures how well a different neural network can reconstruct an event. The trick is training multiple variational autoencoders (VAEs), networks that compress data into a compact representation and try to rebuild it from scratch, each on a different dataset:
- One VAE trained on background (ordinary Standard Model collisions)
- One or more VAEs trained on proxy signals, hypothetical new physics signatures that may or may not match the real unknown signal
When a collision event passes through all these networks, it produces a set of reconstruction losses. Background events reconstruct well on the background VAE and poorly on the signal VAEs. True new physics events show the reverse pattern. The resulting multi-dimensional score separates signal from background even when the proxy signal used during training wasn’t exactly right.
The paper enhances this with normalizing flows, generative models that transform complex probability distributions into simple, well-understood ones. This enables a precise probability score rather than just a reconstruction error. Combining VAEs with normalizing flows gives QUAK sharper discrimination than either approach alone.

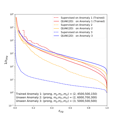
The team validated QUAK on two test cases. First, the MNIST handwritten digit dataset served as proof of concept: could QUAK find a “target” digit using a “proxy” digit as a stand-in? Yes, and even with the wrong proxy, performance stayed far better than blind anomaly detection. Then came the real test: the LHC Olympics 2020 challenge dataset, a community benchmark with hidden new-physics signals injected into simulated LHC collisions. QUAK successfully identified the signal in the first “black box” challenge (a resonance decaying to two jets with anomalous substructure), recovering sensitivity that pure autoencoder approaches missed.
Why It Matters
The payoff goes well beyond any single LHC search. Physics has accumulated enormous domain knowledge about how new particles should behave: they must obey fundamental symmetries, conserve energy and momentum, and produce collision fragments within predictable regions of the detector. Purely data-driven anomaly detectors throw all of this away. QUAK offers a systematic way to inject that knowledge back in, not as a rigid constraint, but as a flexible guide that shapes the search without blinding it.

There are also interesting algorithmic questions here. How similar does the proxy signal need to be? Can multiple competing proxies cover more of signal space at once? The results point to genuine robustness: performance degrades gracefully rather than catastrophically when the proxy is wrong. That’s exactly the property you need for a practical search tool deployed against data where no one knows the answer in advance.
Future work includes extending QUAK to higher-dimensional final states, incorporating network designs that respect physical symmetries, and applying the framework beyond collider physics to problems in astrophysical transients, medical anomaly detection, and materials discovery, wherever domain knowledge exists but remains incomplete.
“Approximately right” signal priors turn out to be far more valuable than no priors at all. That simple insight could reshape how the LHC, and science more broadly, hunts for the unknown.
IAIFI Research Highlights
QUAK connects machine learning methodology with particle physics domain expertise, using learned latent representations to encode physical intuitions that guide anomaly searches at collider experiments.
The work advances semi-supervised anomaly detection by showing that approximate, potentially incorrect class priors still sharply improve sensitivity over fully unsupervised baselines, a finding relevant well beyond physics.
By recovering sensitivity to new physics signatures at the LHC without requiring exact signal knowledge, QUAK expands the practical reach of model-agnostic searches at CERN.
Future work will explore richer proxy signal libraries, equivariant network architectures, and application to additional LHC Olympics black boxes; see [arXiv:2011.03550](https://arxiv.org/abs/2011.03550) for the full methodology and results.
Original Paper Details
Quasi Anomalous Knowledge: Searching for new physics with embedded knowledge
2011.03550
["Sang Eon Park", "Dylan Rankin", "Silviu-Marian Udrescu", "Mikaeel Yunus", "Philip Harris"]
Discoveries of new phenomena often involve a dedicated search for a hypothetical physics signature. Recently, novel deep learning techniques have emerged for anomaly detection in the absence of a signal prior. However, by ignoring signal priors, the sensitivity of these approaches is significantly reduced. We present a new strategy dubbed Quasi Anomalous Knowledge (QUAK), whereby we introduce alternative signal priors that capture some of the salient features of new physics signatures, allowing for the recovery of sensitivity even when the alternative signal is incorrect. This approach can be applied to a broad range of physics models and neural network architectures. In this paper, we apply QUAK to anomaly detection of new physics events at the CERN Large Hadron Collider utilizing variational autoencoders with normalizing flow.