QCD constraints on isospin-dense matter and the nuclear equation of state
Authors
Ryan Abbott, William Detmold, Marc Illa, Assumpta Parreño, Robert J. Perry, Fernando Romero-López, Phiala E. Shanahan, Michael L. Wagman
Abstract
Understanding the behavior of dense hadronic matter is a central goal in nuclear physics as it governs the nature and dynamics of astrophysical objects such as supernovae and neutron stars. Because of the non-perturbative nature of quantum chromodynamics (QCD), little is known rigorously about hadronic matter in these extreme conditions. Here, lattice QCD calculations are used to compute thermodynamic quantities and the equation of state of QCD over a wide range of isospin chemical potentials with controlled systematic uncertainties. Agreement is seen with chiral perturbation theory when the chemical potential is small. Comparison to perturbative QCD at large chemical potential allows for an estimate of the gap in the superconducting phase, and this quantity is seen to agree with perturbative determinations. Since the partition function for an isospin chemical potential, $μ_I$, bounds the partition function for a baryon chemical potential $μ_B=3μ_I/2$, these calculations also provide rigorous non-perturbative QCD bounds on the symmetric nuclear matter equation of state over a wide range of baryon densities for the first time.
Concepts
The Big Picture
Imagine trying to understand what’s inside a neutron star (one of the densest objects in the universe, packing more mass than our Sun into a sphere the size of a city) when your best theories simply break down at those extremes. That’s the predicament physicists have faced for decades.
The strong nuclear force governs the behavior of quarks and gluons (the subatomic particles that make up protons and neutrons) inside neutron stars. The theory describing this force is called quantum chromodynamics, or QCD. But QCD becomes ferociously difficult to calculate with at the extreme densities inside neutron stars. Standard methods are intractable here.
The problem has a name: the sign problem. When physicists try to apply lattice QCD (a technique that lets supercomputers simulate QCD by breaking spacetime into a discrete grid, like pixelating the universe to make it computable) to matter as dense as the inside of a neutron star, the math breaks down. The quantities being computed oscillate so wildly that they cancel each other out, making the calculation meaningless.
This has left the nuclear equation of state (the rulebook describing the relationship between pressure and density in dense matter) out of reach. This rulebook determines everything from how massive a neutron star can grow to whether it collapses into a black hole. Without first-principles calculations, physicists have had to rely on educated guesses anchored by indirect observations.
A collaboration from MIT, Fermilab, and the University of Barcelona has found a way around this wall. Using a mathematical detour through a hypothetical type of matter called isospin-dense matter, they’ve produced the first rigorous, directly-computed QCD constraints on the nuclear equation of state, with all sources of error understood and controlled.
Key Insight: By computing the equation of state for matter with an isospin chemical potential (an imbalance between up and down quarks) rather than a baryon chemical potential, the team sidesteps the sign problem entirely, then uses a mathematical inequality to bound the nuclear equation of state directly from QCD.
How It Works
The central trick works like this. Instead of tackling baryon-dense matter head-on (where the sign problem lurks), the researchers study isospin-dense matter: a hypothetical state where there’s a chemical imbalance between up and down quarks, quantified by the isospin chemical potential μI. This system is immune to the sign problem, making it accessible to lattice QCD.
The connection to real nuclear matter comes from a path-integral inequality. The partition function (a mathematical object encoding all thermodynamic information about a system) for isospin chemical potential μI rigorously bounds the partition function for baryon chemical potential μB = 3μI/2. Whatever you learn about isospin-dense matter gives you a hard, provable upper limit on the pressure of nuclear matter at related densities.

Here’s how the calculation was carried out:
- Lattice QCD simulations were run at multiple lattice spacings and multiple quark masses, enabling extrapolation to the physical continuum limit. This two-pronged approach is what separates the work from earlier proof-of-concept studies and makes the systematic uncertainties genuinely controlled.
- Thermodynamic quantities (pressure, energy density, isospin charge density, and speed of sound) were extracted across a wide sweep of μI values, from the hadronic regime up to densities where perturbative methods apply.
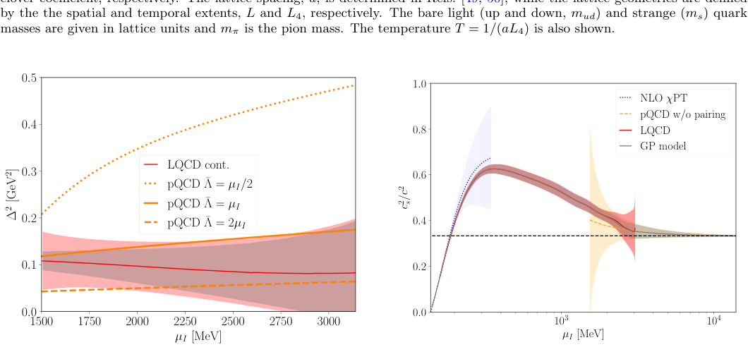
- At small μI, results were compared to chiral perturbation theory (χPT) (a low-energy approximation describing composite quark-based particles at modest densities) and found to agree, confirming the lattice calculations capture the correct low-density physics.
- At large μI, matching against perturbative QCD (pQCD) (valid when matter is so dense that quarks interact only weakly) yielded a determination of the color-superconducting gap: the energy gap associated with Cooper pairs of quarks (analogous to the electron pairs that enable superconductivity) forming in the high-density phase. The extracted gap agrees with leading-order perturbative predictions, with better precision.

One result stands out: the speed of sound. Theory predicts that in a gas of non-interacting massless particles, the speed of sound can’t exceed c²s/c² = 1/3 (the conformal limit). The calculations show this limit is significantly exceeded across a wide range of isospin chemical potentials, confirming that strongly interacting dense matter is far from a simple gas. This point has been a persistent source of debate in neutron star physics.
To build a complete equation of state valid at all densities, the team applied Bayesian model mixing, a statistical framework that weights multiple theories by how well each fits the data in its domain. It combines χPT at low densities, lattice QCD in the middle range, and pQCD at asymptotically high densities. The resulting EoS is continuous, smooth, and grounded in theory across all scales.
Why It Matters
The nuclear equation of state sits at the intersection of particle physics, astrophysics, and gravitational wave astronomy. Every neutron star merger detected by LIGO, every X-ray timing measurement of a neutron star’s radius, every supernova simulation: all depend on assumptions about the nuclear EoS that have never been anchored to QCD from first principles with controlled errors. Until now.
This doesn’t replace phenomenological models, but it constrains them in a way that is model-independent and provably derived from the Standard Model. Future lattice calculations with finer spacings and lighter quark masses will sharpen these bounds further. The methodology itself (using isospin-dense matter as a proxy for baryon-dense matter) opens a systematic research program that can progressively tighten constraints as computational resources grow. As gravitational wave and X-ray observations also improve, the prospect of a complete first-principles picture of the densest matter in the universe looks increasingly realistic.
Bottom Line: For the first time, lattice QCD has delivered provable, systematic-error-controlled bounds on the nuclear equation of state (which governs the behavior of neutron stars) by exploiting a mathematical link between isospin-dense and baryon-dense matter. This is QCD finally making contact with astrophysics.
IAIFI Research Highlights
This work connects nuclear theory, lattice QCD computation, and neutron star astrophysics, using advanced numerical methods to produce the first QCD constraints on quantities that directly affect gravitational wave science and multi-messenger astronomy.
The Bayesian model mixing framework developed here, combining χPT, LQCD, and pQCD across different density regimes, is a methodological step forward for uncertainty-aware scientific inference and applies to other multi-scale physics problems.
The calculation delivers the first non-perturbative, systematically-controlled QCD determination of the color-superconducting gap in isospin-dense matter and rigorous bounds on the nuclear equation of state at multiple baryon densities, derived directly from the Standard Model.
Future work will sharpen these bounds with finer lattice spacings and physical quark masses, with direct implications for neutron star modeling and gravitational wave observations; full results are available at [arXiv:2406.09273](https://arxiv.org/abs/2406.09273).
Original Paper Details
QCD constraints on isospin-dense matter and the nuclear equation of state
2406.09273
["Ryan Abbott", "William Detmold", "Marc Illa", "Assumpta Parreño", "Robert J. Perry", "Fernando Romero-López", "Phiala E. Shanahan", "Michael L. Wagman"]
Understanding the behavior of dense hadronic matter is a central goal in nuclear physics as it governs the nature and dynamics of astrophysical objects such as supernovae and neutron stars. Because of the non-perturbative nature of quantum chromodynamics (QCD), little is known rigorously about hadronic matter in these extreme conditions. Here, lattice QCD calculations are used to compute thermodynamic quantities and the equation of state of QCD over a wide range of isospin chemical potentials with controlled systematic uncertainties. Agreement is seen with chiral perturbation theory when the chemical potential is small. Comparison to perturbative QCD at large chemical potential allows for an estimate of the gap in the superconducting phase, and this quantity is seen to agree with perturbative determinations. Since the partition function for an isospin chemical potential, $μ_I$, bounds the partition function for a baryon chemical potential $μ_B=3μ_I/2$, these calculations also provide rigorous non-perturbative QCD bounds on the symmetric nuclear matter equation of state over a wide range of baryon densities for the first time.