Path integral contour deformations for observables in $SU(N)$ gauge theory
Authors
William Detmold, Gurtej Kanwar, Henry Lamm, Michael L. Wagman, Neill C. Warrington
Abstract
Path integral contour deformations have been shown to mitigate sign and signal-to-noise problems associated with phase fluctuations in lattice field theories. We define a family of contour deformations applicable to $SU(N)$ lattice gauge theory that can reduce sign and signal-to-noise problems associated with complex actions and complex observables. For observables, these contours can be used to define deformed observables with identical expectation value but different variance. As a proof-of-principle, we apply machine learning techniques to optimize the deformed observables associated with Wilson loops in two dimensional $SU(2)$ and $SU(3)$ gauge theory. We study loops consisting of up to 64 plaquettes and achieve variance reduction of up to 4 orders of magnitude.
Concepts
The Big Picture
Imagine trying to measure the height of ocean waves during a storm, but your measuring stick keeps getting buffeted by the very waves you’re measuring. The more precisely you want to measure, the worse the interference, until your data is buried in noise. This is roughly the predicament facing physicists who use Monte Carlo simulations to study the strong nuclear force, which holds quarks together inside protons and neutrons.
The problem has a name: the signal-to-noise (StN) problem. In lattice QCD, the computational framework for simulating quantum chromodynamics on a discrete spacetime grid, calculations involving protons, neutrons, or larger nuclear structures produce results whose signal degrades exponentially faster than the noise. Throwing more simulation time at it barely helps.
For calculations involving nuclear matter at extreme densities, inside neutron stars or produced in heavy-ion collisions, there’s an even nastier variant: the sign problem. Mathematical weights assigned to each simulated state become complex numbers, making them impossible to interpret as ordinary probabilities.
A team of researchers from MIT and Fermilab has now shown that machine learning can tame both problems at once, achieving up to 10,000-fold reductions in variance for Wilson loop observables in two-dimensional SU(2) and SU(3) gauge theories.
By deforming the mathematical integration path into complex space, guided by machine learning, you can compute the same physics with far less statistical noise. The answer doesn’t change. The noise does.
How It Works
The trick exploits a beautiful result from complex analysis. Cauchy’s integral theorem guarantees that if you deform the contour of integration through a region where the integrand is complex-differentiable, the integral’s value doesn’t change. Think of it like routing water through a valley: you can choose a different path, but the same total volume flows through.

In SU(N) lattice gauge theory, force-carrying gluons are described by abstract group elements living on each link of a spacetime grid. The researchers construct a family of contour deformations for these variables: explicit mappings that push them into a “complexified” space where values can have both real and imaginary parts.
One detail makes this computationally tractable. The Jacobian determinant, the correction factor you pick up when changing variables, turns out to have a special triangular structure. For triangular matrices, the determinant is just the product of the diagonal entries, so it can be computed in time that scales linearly with system size rather than exponentially.
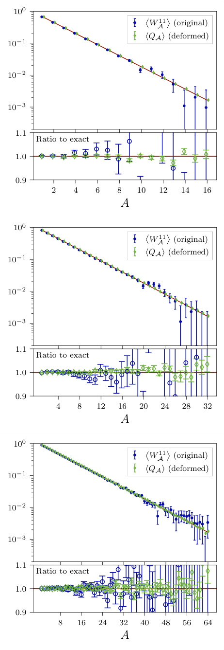
Wilson loops are closed paths traced through the gauge field that encode information about quark confinement. To handle them, the team uses what they call the deformed observable method. They rewrite the observable so that it takes a different value on each individual field configuration, but the average over all configurations remains mathematically identical. The variance, however, can be made much smaller.
The workflow:
- Generate an ensemble of SU(N) gauge field configurations via standard Monte Carlo
- Define a contour deformation parameterized by a neural network
- Use the network to map each configuration into complexified field space
- Reweight the observable using the Jacobian of the deformation
- Train the network to minimize the variance of the resulting estimator

The neural network learns the optimal deformation by gradient descent, tuning its parameters to squeeze out as much variance as possible. Cauchy’s theorem guarantees the expectation value stays exact throughout.
Why It Matters
The team tested their approach on Wilson loops in (1+1)-dimensional SU(2) and SU(3) gauge theories, two-dimensional versions of full four-dimensional QCD. They studied loops spanning up to 64 plaquettes, where the StN problem is most severe.

For the largest loops at the finest lattice spacings, variance dropped by factors between 1,000 and 10,000. A 10,000-fold variance reduction means you need 10,000 times fewer Monte Carlo samples to reach the same statistical precision. Calculations that were previously impractical become routine.
Because the Jacobian computation scales linearly, the technique doesn’t become exponentially more expensive as the system grows. Any method that hopes to work on realistic lattice sizes needs that property.
The paper also derives analytical results for variances in (1+1)D gauge theory, providing a precise benchmark. In several cases, the optimized deformations came close to the theoretical floor for variance reduction.
The sign and signal-to-noise problems aren’t mere technical inconveniences. They block calculations of nuclear binding energies, neutron matter properties, and dense-matter behavior in heavy-ion collisions. Without solutions, entire regimes of the Standard Model remain computationally out of reach.
What sets this approach apart from other machine-learning work in lattice QCD is its target. Rather than using neural networks to generate better Monte Carlo samples, it uses them to find better representations of the same physics. The deformed observable method complements sampling improvements and could be combined with them.
Machine-learned contour deformations achieve up to 10,000-fold variance reduction for Wilson loops in SU(N) gauge theory, a concrete step toward solving the sign and signal-to-noise problems that have long limited precision calculations in nuclear and particle physics.
IAIFI Research Highlights
This work connects machine learning optimization with open problems in quantum field theory. Neural networks find optimal contour deformations while Cauchy's theorem guarantees that physical predictions remain exact.
The network learns geometrical deformations subject to a hard mathematical constraint (Cauchy's theorem), showing how deep learning can sit inside a rigorous scientific computation without breaking formal guarantees.
Variance reductions of up to four orders of magnitude for Wilson loops in SU(2) and SU(3) gauge theory are a concrete advance on the signal-to-noise problem that limits lattice QCD calculations of nuclear systems and dense matter.
The next step is extending contour deformations to full (3+1)-dimensional lattice QCD, where the linear-scaling Jacobian computation should keep the approach viable at realistic system sizes. The preprint is available at [arXiv:2101.12668](https://arxiv.org/abs/2101.12668).
Original Paper Details
Path integral contour deformations for observables in $SU(N)$ gauge theory
2101.12668
William Detmold, Gurtej Kanwar, Henry Lamm, Michael L. Wagman, Neill C. Warrington
Path integral contour deformations have been shown to mitigate sign and signal-to-noise problems associated with phase fluctuations in lattice field theories. We define a family of contour deformations applicable to $SU(N)$ lattice gauge theory that can reduce sign and signal-to-noise problems associated with complex actions and complex observables. For observables, these contours can be used to define deformed observables with identical expectation value but different variance. As a proof-of-principle, we apply machine learning techniques to optimize the deformed observables associated with Wilson loops in two dimensional $SU(2)$ and $SU(3)$ gauge theory. We study loops consisting of up to 64 plaquettes and achieve variance reduction of up to 4 orders of magnitude.