From Discovery to the First Month of the Type II Supernova 2023ixf: High and Variable Mass Loss in the Final Year before Explosion
Authors
Daichi Hiramatsu, Daichi Tsuna, Edo Berger, Koichi Itagaki, Jared A. Goldberg, Sebastian Gomez, Kishalay De, Griffin Hosseinzadeh, K. Azalee Bostroem, Peter J. Brown, Iair Arcavi, Allyson Bieryla, Peter K. Blanchard, Gilbert A. Esquerdo, Joseph Farah, D. Andrew Howell, Tatsuya Matsumoto, Curtis McCully, Megan Newsome, Estefania Padilla Gonzalez, Craig Pellegrino, Jaehyon Rhee, Giacomo Terreran, József Vinkó, J. Craig Wheeler
Abstract
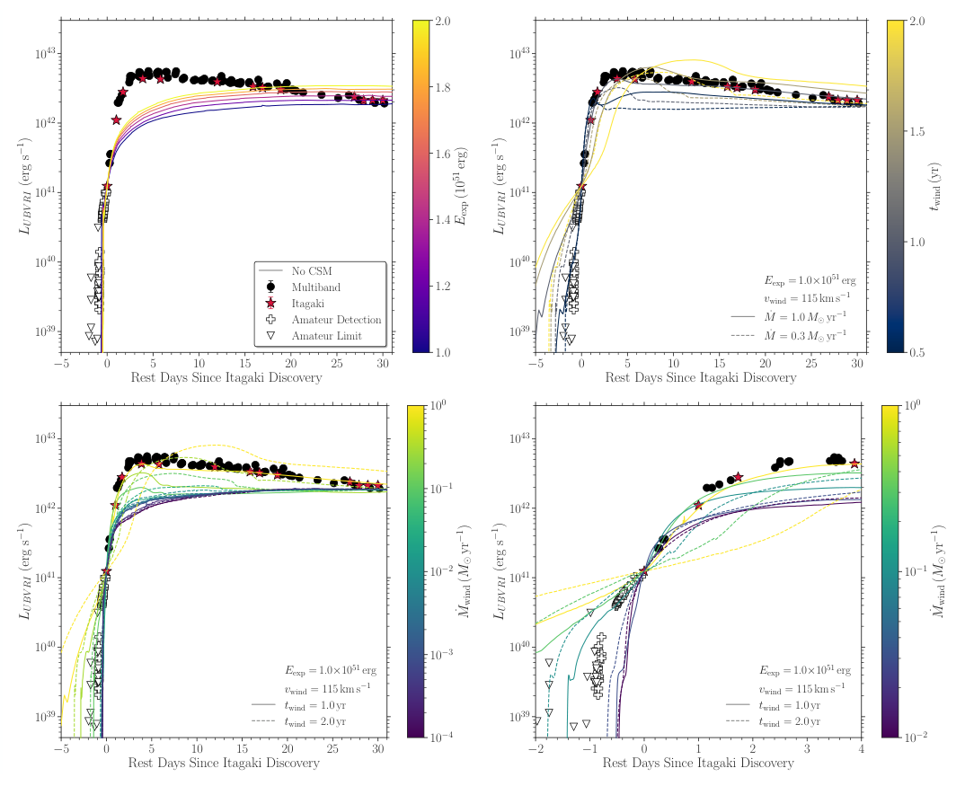
We present the discovery of the Type II supernova SN 2023ixf in M101 and follow-up photometric and spectroscopic observations, respectively, in the first month and week of its evolution. Our discovery was made within a day of estimated first light, and the following light curve is characterized by a rapid rise ($\approx5$ days) to a luminous peak ($M_V\approx-18.2$ mag) and plateau ($M_V\approx-17.6$ mag) extending to $30$ days with a fast decline rate of $\approx0.03$ mag day$^{-1}$. During the rising phase, $U-V$ color shows blueward evolution, followed by redward evolution in the plateau phase. Prominent flash features of hydrogen, helium, carbon, and nitrogen dominate the spectra up to $\approx5$ days after first light, with a transition to a higher ionization state in the first $\approx2$ days. Both the $U-V$ color and flash ionization states suggest a rise in the temperature, indicative of a delayed shock breakout inside dense circumstellar material (CSM). From the timescales of CSM interaction, we estimate its compact radial extent of $\sim(3-7)\times10^{14}$ cm. We then construct numerical light-curve models based on both continuous and eruptive mass-loss scenarios shortly before explosion. For the continuous mass-loss scenario, we infer a range of mass-loss history with $0.1-1.0\,M_\odot\,{\rm yr}^{-1}$ in the final $2-1$ yr before explosion, with a potentially decreasing mass loss of $0.01-0.1\,M_\odot\,{\rm yr}^{-1}$ in $\sim0.7-0.4$ yr toward the explosion. For the eruptive mass-loss scenario, we favor eruptions releasing $0.3-1\,M_\odot$ of the envelope at about a year before explosion, which result in CSM with mass and extent similar to the continuous scenario. We discuss the implications of the available multiwavelength constraints obtained thus far on the progenitor candidate and SN 2023ixf to our variable CSM models.
Concepts
The Big Picture
Imagine watching a star die in real time. Most stellar explosions are found days or weeks after they begin, the initial flash already faded, the first moments lost. But in May 2023, astronomers caught a massive star in the nearby Pinwheel Galaxy (M101) detonating almost in the act. The supernova, dubbed SN 2023ixf, became one of the closest and best-observed stellar explosions in decades.
The explosion itself wasn’t the mystery. Scientists have known for decades that stars more than eight times the Sun’s mass end their lives as supernovae. What remains unclear is what happens in the months and years before the detonation. Standard stellar evolution theory predicts relatively calm, gradual mass loss as a star ages. The evidence, though, keeps pointing to something far more dramatic right before the end.
A team led by Daichi Hiramatsu at the Center for Astrophysics | Harvard & Smithsonian tracked SN 2023ixf from discovery through its first month. They combined brightness measurements, spectral analysis, and computer simulations to reconstruct what the dying star was doing in its final year.
Key Insight: SN 2023ixf reveals that the massive red giant star that exploded was shedding mass at up to a solar mass per year in its final year, far exceeding what standard stellar physics predicts and possibly pointing to violent eruptive events.
How It Works
Amateur astronomer Koichi Itagaki spotted the supernova on May 19, 2023. The team confirmed it within hours, and observations began within roughly one day of first light, the moment the explosion’s radiation first escaped the star. That early catch changed everything.

The team assembled a detailed light curve spanning the first 30 days. Here’s what they saw:
- A rapid rise to peak brightness in just ~5 days
- A luminous peak of M_V ≈ −18.2 magnitudes
- A plateau phase at M_V ≈ −17.6 extending to 30 days, declining at ~0.03 magnitudes per day
- An unusual blueward shift in ultraviolet-optical color during the rise, followed by a redward drift during the plateau
That color evolution matters. Normally, supernovae cool and redden as they expand. A blueward shift during the rise means the shock was heating up as it plowed through something dense right outside the star.

The real tell came from flash spectroscopy, which captures the light signatures of specific elements in the first days after an explosion. The spectra showed hydrogen, helium, carbon, and nitrogen glowing because the explosion’s intense ultraviolet radiation was stripping electrons from gas the star had previously shed.
These flash features (short-lived emission signatures from ionized atoms near the star) are only visible if you catch a supernova early enough. The team tracked them for ~5 days after first light. In the first ~2 days, they saw a jump to a higher ionization state: temperature was rising, not falling. That’s what you’d expect if the shock was still traveling through dense surrounding gas rather than breaking out into empty space.
Together, the color evolution and flash features pointed to a delayed shock breakout. The explosion’s shockwave was punching through a shell of dense circumstellar material (CSM) that the star had cast off before dying. From the timescales involved, the team calculated how far that shell extended: roughly (3–7) × 10¹⁴ cm, or about 20 to 47 times the Earth-Sun distance.

To figure out how that CSM got there, the researchers built two classes of numerical light-curve models:
- Continuous mass-loss scenario: The star steadily shed material at 0.1–1.0 solar masses per year during the final 1–2 years before explosion, possibly tapering to 0.01–0.1 solar masses per year in the last few months.
- Eruptive mass-loss scenario: The star underwent one or more violent eruptions roughly a year before exploding, each ejecting 0.3–1 solar mass of its outer envelope in a short burst.
Both scenarios produce similar CSM masses and extents, so the observations alone can’t definitively distinguish between them. But both demand mass-loss rates orders of magnitude higher than standard stellar evolution theory expects.
Why It Matters
The progenitor of SN 2023ixf was almost certainly a red supergiant, a bloated, cool giant with a mass between roughly 8 and 25 times the Sun’s. Pre-explosion archival images from Hubble, Spitzer, and ground-based observatories had already flagged a dust-obscured candidate with a ~1000-day periodic variability, hinting that the star was pulsating wildly in its final years.

The extreme mass loss fits a pattern that keeps showing up: massive stars don’t quietly collapse. They convulse and heave material into space in their final moments, reshaping their surroundings before the core gives way.
That changes how we should model stellar evolution, supernova light curves, and the chemical enrichment of galaxies. If massive stars routinely dump solar masses of material into space in their last year, the textbook picture of slow, steady stellar winds is badly incomplete. And it turns out that the very early hours and days of a supernova, the phase that’s traditionally missed, contain the most revealing physics. SN 2023ixf is a strong argument for rapid-response observing networks and time-domain astronomy, the study of how objects in the sky change over time.
Bottom Line: SN 2023ixf exposes the chaotic final year of a massive star’s life, with mass-loss rates orders of magnitude higher than standard theory predicts. What drives such extreme behavior just before core collapse remains unknown.
IAIFI Research Highlights
This work pairs rapid multiwavelength observational astronomy with numerical hydrodynamic modeling to decode the physics of stellar death, drawing on both computational astrophysics and fundamental stellar physics.
Modern time-domain survey infrastructure and rapid data pipelines, now increasingly reliant on machine-learning alert systems, made it possible to detect and follow up this rare transient event within hours of first light.
SN 2023ixf provides the tightest constraints yet on pre-supernova mass loss from a red supergiant, with inferred rates of 0.1–1.0 solar masses per year that challenge standard stellar evolution theory and point toward new physics governing the final year before core collapse.
Future multiwavelength observations, especially in X-ray and radio, will further constrain the CSM geometry and progenitor properties; the full study is available at [arXiv:2307.03165](https://arxiv.org/abs/2307.03165).
Original Paper Details
From Discovery to the First Month of the Type II Supernova 2023ixf: High and Variable Mass Loss in the Final Year before Explosion
2307.03165
Daichi Hiramatsu, Daichi Tsuna, Edo Berger, Koichi Itagaki, Jared A. Goldberg, Sebastian Gomez, Kishalay De, Griffin Hosseinzadeh, K. Azalee Bostroem, Peter J. Brown, Iair Arcavi, Allyson Bieryla, Peter K. Blanchard, Gilbert A. Esquerdo, Joseph Farah, D. Andrew Howell, Tatsuya Matsumoto, Curtis McCully, Megan Newsome, Estefania Padilla Gonzalez, Craig Pellegrino, Jaehyon Rhee, Giacomo Terreran, József Vinkó, J. Craig Wheeler
We present the discovery of the Type II supernova SN 2023ixf in M101 and follow-up photometric and spectroscopic observations, respectively, in the first month and week of its evolution. Our discovery was made within a day of estimated first light, and the following light curve is characterized by a rapid rise ($\approx5$ days) to a luminous peak ($M_V\approx-18.2$ mag) and plateau ($M_V\approx-17.6$ mag) extending to $30$ days with a fast decline rate of $\approx0.03$ mag day$^{-1}$. During the rising phase, $U-V$ color shows blueward evolution, followed by redward evolution in the plateau phase. Prominent flash features of hydrogen, helium, carbon, and nitrogen dominate the spectra up to $\approx5$ days after first light, with a transition to a higher ionization state in the first $\approx2$ days. Both the $U-V$ color and flash ionization states suggest a rise in the temperature, indicative of a delayed shock breakout inside dense circumstellar material (CSM). From the timescales of CSM interaction, we estimate its compact radial extent of $\sim(3-7)\times10^{14}$ cm. We then construct numerical light-curve models based on both continuous and eruptive mass-loss scenarios shortly before explosion. For the continuous mass-loss scenario, we infer a range of mass-loss history with $0.1-1.0\,M_\odot\,{\rm yr}^{-1}$ in the final $2-1$ yr before explosion, with a potentially decreasing mass loss of $0.01-0.1\,M_\odot\,{\rm yr}^{-1}$ in $\sim0.7-0.4$ yr toward the explosion. For the eruptive mass-loss scenario, we favor eruptions releasing $0.3-1\,M_\odot$ of the envelope at about a year before explosion, which result in CSM with mass and extent similar to the continuous scenario. We discuss the implications of the available multiwavelength constraints obtained thus far on the progenitor candidate and SN 2023ixf to our variable CSM models.