FLORAH: A generative model for halo assembly histories
Authors
Tri Nguyen, Chirag Modi, L. Y. Aaron Yung, Rachel S. Somerville
Abstract
The mass assembly history (MAH) of dark matter halos plays a crucial role in shaping the formation and evolution of galaxies. MAHs are used extensively in semi-analytic and empirical models of galaxy formation, yet current analytic methods to generate them are inaccurate and unable to capture their relationship with the halo internal structure and large-scale environment. This paper introduces FLORAH, a machine-learning framework for generating assembly histories of ensembles of dark matter halos. We train FLORAH on the assembly histories from the GUREFT and VSMDPL N-body simulations and demonstrate its ability to recover key properties such as the time evolution of mass and concentration. We obtain similar results for the galaxy stellar mass versus halo mass relation and its residuals when we run the Santa Cruz semi-analytic model on FLORAH-generated assembly histories and halo formation histories extracted from an N-body simulation. We further show that FLORAH also reproduces the dependence of clustering on properties other than mass (assembly bias), which is not captured by other analytic methods. By combining multiple networks trained on a suite of simulations with different redshift ranges and mass resolutions, we are able to construct accurate main progenitor branches (MPBs) with a wide dynamic mass range from $z=0$ up to an ultra-high redshift $z \approx 20$, currently far beyond that of a single N-body simulation. FLORAH is the first step towards a machine learning-based framework for planting full merger trees; this will enable the exploration of different galaxy formation scenarios with great computational efficiency at unprecedented accuracy.
Concepts
The Big Picture
Imagine trying to reconstruct someone’s entire life story from knowing their age and weight today. That’s roughly the challenge cosmologists face when trying to understand how galaxies formed: they can observe a galaxy now, but to understand why it looks the way it does, they need the full history of the dark matter “halo” it grew inside.
Dark matter halos are the invisible scaffolding of the universe: gravitationally bound clumps of dark matter that coalesced over billions of years, merging and growing, each one hosting a galaxy.
The mass assembly history (the record of how a halo accumulated its mass over cosmic time) is the Rosetta Stone for galaxy formation. Feed it into a galaxy formation model and you can predict how many stars a galaxy contains, how fast it’s forming new ones, even how it clusters with its neighbors. The problem: computing accurate histories for millions of halos, across the full range of galaxy sizes and all the way back to the early universe, is computationally brutal. The standard shortcuts are fast but wrong. A team from MIT and the Flatiron Institute has now introduced a machine learning framework called FLORAH that is both fast and right.
Key Insight: FLORAH uses a combination of recurrent neural networks and normalizing flows to generate statistically accurate dark matter halo assembly histories, including subtle environmental effects that previous analytic methods cannot capture.
How It Works
A halo’s past isn’t a single number. It’s a time-ordered sequence of masses and structural properties, and the space of possible histories for any given halo is enormous. FLORAH tackles this with two interlocking components.
The first is a recurrent neural network (RNN), the kind of sequence-processing architecture behind early language models. It learns to represent the “memory” of a halo’s assembly: at each timestep, the RNN encodes what happened before and passes that context forward.
On top of the RNN sits a normalizing flow. Normalizing flows are generative models that transform a simple probability distribution into a complex, structured one; here, the flow samples the full distribution of possible next steps. Together, the two components generate realistic, stochastic assembly histories one timestep at a time, conditioned on a halo’s current mass and concentration.

Training data comes from two N-body simulations: computer models that track the gravitational interactions of millions of particles to simulate how matter clumps together over cosmic time. GUREFT covers ultra-high redshifts (up to z ≈ 20) with high mass resolution; VSMDPL provides a broad mass range at lower redshifts. The team trains separate FLORAH networks on each and stitches them together at overlapping redshifts, constructing main progenitor branches (MPBs): the primary lineage of each halo, tracing its most massive ancestor at each moment in time.
The resulting histories span a dynamic range no single simulation can match, from galaxy-cluster-scale halos to dwarf-galaxy progenitors, from today (z = 0) back to z ≈ 20. The numbers hold up:
- FLORAH accurately reproduces the median and scatter of mass assembly histories across all halo masses tested
- It recovers the time evolution of halo concentration, a measure of how centrally dense a halo is. No previous analytic method could do this.
- When plugged into the Santa Cruz semi-analytic model (SAM), a computationally efficient framework for predicting galaxy properties from halo histories without running a full simulation, it produces a galaxy stellar mass–halo mass relation and scatter closely matching what the same SAM produces on raw N-body merger trees
Why It Matters
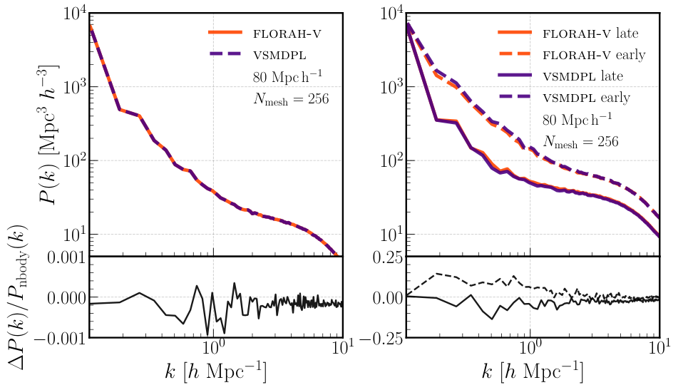
The headline result isn’t just accuracy. It’s assembly bias. Halos of the same mass don’t all cluster the same way; older, more concentrated halos cluster differently than younger ones of identical mass. This effect has been invisible to the Extended Press-Schechter (EPS) formalism the field has relied on for decades.
EPS trees assume a simple Markov property: the future depends only on present mass, nothing else. FLORAH conditions on both mass and concentration, and the results show it reproduces the assembly bias signal where EPS methods produce none.

This matters for next-generation galaxy surveys. Instruments like the Roman Space Telescope and Euclid will map hundreds of millions of galaxies. Interpreting their clustering statistics, and disentangling galaxy physics from cosmology, requires accurate models of how halos cluster as a function of their full formation history. FLORAH can generate the enormous synthetic catalogs those analyses will need, for far less computational cost than a full N-body simulation.
The current model generates only the main progenitor branch, the spine of a merger tree. Full merger trees, which include all the smaller halos that merged in along the way, are the next target. Extending FLORAH to full trees would give the field a complete, machine-learning-native alternative to expensive N-body runs for semi-analytic galaxy formation modeling.
Bottom Line: FLORAH generates dark matter halo assembly histories accurate enough to recover galaxy statistics and assembly bias (effects the standard analytic toolkit misses) while being fast enough to scale to the demands of next-generation cosmological surveys.
IAIFI Research Highlights
FLORAH combines deep generative modeling with cosmological simulation, using normalizing flows and recurrent neural networks to reproduce the statistical output of computationally expensive N-body simulations for a small fraction of the cost.
Pairing sequence models (RNNs) with density estimators (normalizing flows) captures complex, time-dependent conditional distributions in physical systems well. The same architecture pattern should transfer to other scientific domains with sequential structure.
By accurately reproducing assembly bias for the first time in an analytic or ML framework, FLORAH allows more precise modeling of the halo-galaxy connection, which feeds directly into large-scale structure measurements used to constrain cosmological parameters.
Future extensions target full merger trees rather than just main progenitor branches, potentially replacing N-body simulations entirely for semi-analytic galaxy formation studies; the paper is available at [arXiv:2308.05145](https://arxiv.org/abs/2308.05145).
Original Paper Details
FLORAH: A generative model for halo assembly histories
2308.05145
["Tri Nguyen", "Chirag Modi", "L. Y. Aaron Yung", "Rachel S. Somerville"]
The mass assembly history (MAH) of dark matter halos plays a crucial role in shaping the formation and evolution of galaxies. MAHs are used extensively in semi-analytic and empirical models of galaxy formation, yet current analytic methods to generate them are inaccurate and unable to capture their relationship with the halo internal structure and large-scale environment. This paper introduces FLORAH, a machine-learning framework for generating assembly histories of ensembles of dark matter halos. We train FLORAH on the assembly histories from the GUREFT and VSMDPL N-body simulations and demonstrate its ability to recover key properties such as the time evolution of mass and concentration. We obtain similar results for the galaxy stellar mass versus halo mass relation and its residuals when we run the Santa Cruz semi-analytic model on FLORAH-generated assembly histories and halo formation histories extracted from an N-body simulation. We further show that FLORAH also reproduces the dependence of clustering on properties other than mass (assembly bias), which is not captured by other analytic methods. By combining multiple networks trained on a suite of simulations with different redshift ranges and mass resolutions, we are able to construct accurate main progenitor branches (MPBs) with a wide dynamic mass range from $z=0$ up to an ultra-high redshift $z \approx 20$, currently far beyond that of a single N-body simulation. FLORAH is the first step towards a machine learning-based framework for planting full merger trees; this will enable the exploration of different galaxy formation scenarios with great computational efficiency at unprecedented accuracy.