Central densities of dark matter halos in FIRE-2 simulations of low-mass galaxies with cold dark matter and self-interacting dark matter
Authors
Maria C. Straight, Michael Boylan-Kolchin, James S. Bullock, Philip F. Hopkins, Xuejian Shen, Lina Necib, Alexandres Lazar, Andrew S. Graus, Jenna Samuel
Abstract
We investigate the central density structure of dark matter halos in cold dark matter (CDM) and self-interacting dark matter (SIDM) models using simulations that are part of the Feedback In Realistic Environments (FIRE) project. For simulated halos of dwarf galaxy scale ($M_{\rm halo}(z=0)\approx 10^{10}\,M_\odot$), we study the central structure in both dissipationless simulations and simulations with full FIRE-2 galaxy formation physics. As has been demonstrated extensively in recent years, both baryonic feedback and self-interactions can convert central cusps into cores, with the former process doing so in a manner that depends sensitively on stellar mass at fixed $M_{\rm halo}$. Whether the two processes (baryonic feedback and self-interactions) are distinguishable, however, remains an open question. Here we demonstrate that, compared to feedback-induced cores, SIDM-induced cores transition more quickly from the central region of constant density to the falling density at larger radial scales. This result holds true even when including identical galaxy formation modeling in SIDM simulations as is used in CDM simulations, since self-interactions dominate over galaxy formation physics in establishing the central structure of SIDM halos in this mass regime. The change in density profile slope as a function of radius therefore holds the potential to discriminate between self-interactions and galaxy formation physics as the driver of core formation in dwarf galaxies.
Concepts
The Big Picture
Imagine trying to solve a mystery where two completely different culprits leave nearly identical crime scenes. That’s what astrophysicists face at the centers of small galaxies. The dark matter there looks suspiciously “fluffy,” with lower density than our best theories predict, and two very different explanations could account for it.
The leading cosmological model, cold dark matter (CDM), predicts that galaxies should have dense, sharply rising “cusps” of dark matter at their centers. But observations of dwarf galaxies consistently reveal something softer: flat, constant-density “cores.” Two suspects have competed for decades to explain the mismatch.
Stellar feedback is one. The energetic winds and explosions from dying stars can violently rattle a galaxy’s gravitational grip on its dark matter, gradually pushing the center outward into a flat core. The other is self-interacting dark matter (SIDM), an exotic variant where dark matter particles actually collide with each other, redistributing energy from the outside inward until the center smooths out.
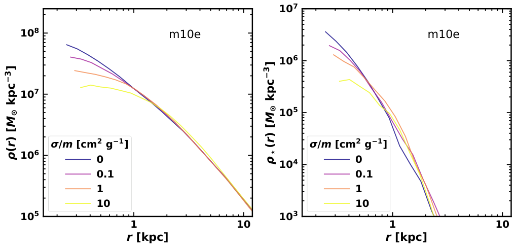
Recent work using the FIRE-2 simulation suite has turned up a subtle fingerprint that could tell these two mechanisms apart: the shape of the transition between a galaxy’s core and its outer halo. SIDM-induced cores have a sharper, more abrupt boundary where flat central density gives way to steeply falling outer density. Stellar feedback cannot replicate this shape, even when both processes produce the same overall core size.
How It Works
The team ran cosmological simulations targeting dwarf galaxies with halo masses around 10¹⁰ solar masses, roughly ten billion times the mass of our Sun. This is a scale where both stellar feedback and SIDM carve out cores effectively, making them the hardest to tell apart. Four scenarios were compared side by side:
- Dark matter only (CDM) — gravity alone, no stars or gas
- Dark matter only (SIDM) — same, but dark matter particles collide with a cross section of σ/m ~ 2 cm² g⁻¹ (a measure of how likely two dark matter particles are to scatter off each other)
- CDM with full FIRE-2 physics — star formation, supernova feedback, stellar winds, and gas dynamics
- SIDM with full FIRE-2 physics — everything from scenario 3, but with self-interacting dark matter
Holding the star and gas physics constant across CDM and SIDM runs means any remaining difference must come from the dark matter physics itself.

The real diagnostic isn’t central density alone. It’s the logarithmic slope of the density profile, which measures how quickly density falls off as you move outward from a galaxy’s center. Think of the dark matter distribution as a hill: the slope tells you how steep it is at each point, and whether that steepness changes gradually or snaps abruptly.
Feedback-driven CDM cores transition from flat to steep gradually, spread across a wide range of radii. SIDM halos make the same transition much more sharply. The core just ends.

The researchers quantified this by comparing two characteristic radii: where the density slope reaches −1 (density begins falling noticeably) versus where it reaches −2 (density falls steeply). In SIDM halos, these radii sit close together, producing a tight, compact transition zone. Feedback-shaped CDM halos smear the same transition out over larger scales.
Adding full stellar physics to the SIDM simulations didn’t wash out the signal. Self-interactions still dominated the central structure, and the shape of the SIDM core stayed distinct from its CDM counterpart. The fingerprint holds up through the messiness of real galaxy formation.
Why It Matters
The “cusp-core problem” has nagged cosmology for thirty years. If galaxy centers can’t distinguish CDM-plus-feedback from SIDM, we lose one of our best handles on whether dark matter particles have exotic properties. SIDM would require physics beyond the Standard Model, with new fundamental forces that act among dark matter particles but leave ordinary matter untouched.
The results point toward a concrete observational strategy. Next-generation instruments like the Vera C. Rubin Observatory, the Nancy Grace Roman Space Telescope, and powerful radio arrays will map stellar and gas kinematics inside dwarf galaxies at unprecedented resolution. The slope transition signature identified here is exactly the kind of subtle profile shape those instruments could resolve.
At even lower halo masses, where feedback becomes ineffective, CDM and SIDM predictions should diverge more cleanly. That regime is worth exploring next.
Caveats remain. The simulations used a single, fixed SIDM cross section; real SIDM models often feature velocity-dependent cross sections that would produce a wider variety of core shapes. This is a proof of concept showing that the shape difference exists and persists in realistic simulations, not a definitive prediction across all possible SIDM models.
Still, the takeaway is clear: the shape of a dwarf galaxy’s dark matter core, not just its size, may hold the key to one of cosmology’s longest-running puzzles. SIDM leaves a characteristically sharper core boundary, and that signal survives even when realistic galaxy physics is thrown into the mix.
IAIFI Research Highlights
This work uses the FIRE-2 galaxy formation framework, a tool from computational astrophysics, to probe whether dark matter's particle-scale properties leave detectable imprints in galaxy-scale structure, tying simulation science to fundamental particle physics.
Extracting subtle morphological signatures from noisy simulation outputs is a pattern-recognition problem well suited to machine learning, which is increasingly being applied to large astrophysical simulation databases.
By identifying an observational signature that distinguishes SIDM from CDM in dwarf galaxies, this research opens a route to constraining whether dark matter particles experience non-gravitational forces, a direct test of physics beyond the Standard Model.
Future work with velocity-dependent SIDM cross sections and high-resolution kinematic data from Rubin and Roman could turn this theoretical signature into a definitive observational test. The paper is available as [arXiv:2501.16602](https://arxiv.org/abs/2501.16602).
Original Paper Details
Central densities of dark matter halos in FIRE-2 simulations of low-mass galaxies with cold dark matter and self-interacting dark matter
2501.16602
Maria C. Straight, Michael Boylan-Kolchin, James S. Bullock, Philip F. Hopkins, Xuejian Shen, Lina Necib, Alexandres Lazar, Andrew S. Graus, Jenna Samuel
We investigate the central density structure of dark matter halos in cold dark matter (CDM) and self-interacting dark matter (SIDM) models using simulations that are part of the Feedback In Realistic Environments (FIRE) project. For simulated halos of dwarf galaxy scale ($M_{\rm halo}(z=0)\approx 10^{10}\,M_\odot$), we study the central structure in both dissipationless simulations and simulations with full FIRE-2 galaxy formation physics. As has been demonstrated extensively in recent years, both baryonic feedback and self-interactions can convert central cusps into cores, with the former process doing so in a manner that depends sensitively on stellar mass at fixed $M_{\rm halo}$. Whether the two processes (baryonic feedback and self-interactions) are distinguishable, however, remains an open question. Here we demonstrate that, compared to feedback-induced cores, SIDM-induced cores transition more quickly from the central region of constant density to the falling density at larger radial scales. This result holds true even when including identical galaxy formation modeling in SIDM simulations as is used in CDM simulations, since self-interactions dominate over galaxy formation physics in establishing the central structure of SIDM halos in this mass regime. The change in density profile slope as a function of radius therefore holds the potential to discriminate between self-interactions and galaxy formation physics as the driver of core formation in dwarf galaxies.